这个问题可以归于两个比较有名的思考:费米悖论和大沉默。
	
费米悖论:
Fermi paradox,又称费米谬论,阐述的是对地外文明存在性的过高估计和缺少相关证据之间的矛盾。宇宙惊人的年龄和庞大的星体数量意味着,除非地球是一个特殊的例子,否则地外生命应该广泛存在。在1950年的一次非正式讨论中,物理学家恩里科·费米问道,如果银河系存在大量先进的地外文明,那么为什么连飞船或者探测器之类的证据都看不到。对这个话题更加具体的探讨最早出现在1975年麦克·哈特的文章中,有时也被叫做麦克·哈特悖论。 所以费米悖论讲述的是有关尺度和概率的论点和稀缺的证据之间的矛盾,即宇宙显著的尺度和年龄意味着高等地外文明应该存在。(引自Fermi paradox)
下面从两个方面来展开费米悖论,各位读者爆米花准备:
1、费米悖论Part 1(内容简介):
可观测宇宙的直径大约有900亿光年。至少有1000亿个星系,每个星系拥有大概1000亿到10000亿颗恒星。
最近,我们已经了解到,行星是非常普遍的。我们的宇宙中可能有上万亿的适宜居住的行星。
这意味着生命存在和发展的机会很大,不是吗?
但它在哪里呢?
难道宇宙中不是应该充满宇宙飞船和星空战舰吗?
让我们退一步想想。
即使有其他星系存在外星文明,我们完全没有办法知道他们的存在。就我们所知,银河系和近邻星团被称为“本星系群”(the local group),所有在这之外的星系我们基本上永远不会接触到,这是因为我们的宇宙在膨胀。
	
即使我们有非常快的飞船,说起来也要花好几亿年的时间才能穿过宇宙中最空旷的地方到达本星系群之外的星系。
	
所以,我们把注意力放在银河系上。银河系是我们的家园,它包含了多达4千亿颗恒星。整个可观测宇宙的恒星数量之多,大约是地球上的每一粒沙子可以对应其中的一万颗恒星。
	
在银河系中,大约有200亿颗跟太阳相似的恒星。估算表明这些恒星中有五分之一处在宜居带的类地行星。宜居带就是恒星周围适合生命存在的轨道区域。
	
假设这些行星中只有0.1%有生命,那么整个银河系中有100万的行星上会有生命存在。(参考德雷克方程,http://suo.im/Kfniz)
	
等等,银河系大约有130亿年的历史,最开始的时候,银河系并不是一个适合生命存在的地方,这是因为很多东西在爆炸,但是,在银河系诞生后的10到20亿年,第一颗宜居行星就会诞生了。
地球只有40亿年的历史,所以有数不尽的可能性,生命在其它的行星上也诞生了。
	
即使只有一种生命发展出了太空旅行的科技文明,我们现在就已经注意到他们了,或者我们就已经被注意到了。那么,这样的科技文明是什么样的呢?
	
我们根据卡尔达肖夫指数(Kardashev scale),把他们分成了三类:
- 
		I 型文明 
一个I型的文明可以使用他们星球上所有的能源。
	
如果你想知道人类目前的状态的话,我们大约处在I型文明的73%左右。在接下来的几百年间,我们应该会达到I型的文明水准。
	
- 
		II 型文明 
II型文明可以使用他们的宿主恒星的所有能源。
	
实现这些目前可能需要一些科幻,但是原则上是可行的。戴森球就是这样一个可行的概念:一个环绕其恒星的系统结构。
	
- 
		III 型文明 
III型文明基本上可以控制整个星系并使用它的能源。
	
但是为什么我们不能够一开始就看到这样的文明呢?
如果我们要建造可以承载足够生活几千年人口的飞船,我们可以在200万年之内殖民整个星系。听起来像是一个很长的时间,但是请记住,银河系很大哦。
	
所以殖民整个星系需要花费几百万年的时间,而且银河系中可能有不下数十亿的适合生命的行星,这些其它的生命比我们要诞生的早的多,那么,这些外星人都去哪里了呢?
	
这就是费米悖论,并且没有人能给出答案。
	
不过,我们有一些猜想。我们来聊聊大过滤(the great filter)吧。在这个语境中,过滤器指的是生命很难度过的障碍。在很多中情况下,它都显得都很可怕。
	
- 
		第一种,存在大过滤器,并且我们已经克服了它们。 
	
也许复杂的生命发展起来要比我们想象的要难得多。到现在,科学上的生命起源过程都没有完全弄明白,也许这个过程要求的条件非常复杂。
也许过去的宇宙对于生命的形成充满了敌意,只是最近的情况才变得友好,复杂的生命才可以存在。
	
这可能意味着我们就是独一无二的,或者是宇宙中的第一批文明——是否是整个宇宙第一个文明就不可知了。
	
- 
		第二种,存在大过滤器,而且它们就在我们的前面。 
	
这一条就真的很可怕了,也许像我们这样水平的生命在宇宙中到处都有,不过到了一个特定的水平,相应的文明就被毁灭了,也许这个过滤器就在我们的前面。
	
例如,在未来,有了很牛的科技,而这种科技全然超出了我们的预料与掌控(参考Technological singularity,技术奇点),在不断的误用之后,它就把整个行星给毁灭了。
	
每一个先进文明的最后一句话可能就是:“只要我按下这个按钮,这个新的装置就会解决我们所有的问题。”
	
如果这个是真的话,那么我们更接近人类文明的末日,而不是人类的开端。又或许存在一个古老的III型文明,他们监视着整个宇宙,一旦一个文明变得足够先进,它就被立刻铲除掉了。
	
也许对于可能的某种存在,我们还是不发现的要好(然而旅行者号已经发出了“声音”)。
	
- 
		最后一个想法,也许我们就是孤单的。 
目前说来,我们并没有任何的证据表明除了我们之外还有其他的(智慧)生命。
	
外面什么也没有,宇宙看起来如死寂一般。没有人给我们发送信息,也没有人回答我们的呼唤。我们可能是完完全全的孤单一人,被困在湿漉漉的泥球上,周围是永恒的宇宙。
	
这个想法吓坏你了吗?
如果是的话,你的反应是正确的。
如果我们让这个星球上的文明死去的话,也许整个宇宙就再也没有生命了。
在我们的宇宙中,生命可能就从此一去不复返。
	
如果是这样的话,我们只需要大胆的飞向宇宙,并成为第一个III型文明,让生命之火在宇宙之中蔓延,直到这个宇宙的最后一刻。
	
宇宙如此美丽,如果没有人来品味的话,也是太可惜了。
	
2、费米悖论Part 2(一些思考):
1. 思考A
太空旅行非常难,虽然有可能,但前往其他恒星仍是一个巨大的挑战:
(1)大量的材料必须被送入轨道和组装。另外,几千年的“长途”旅程所装带的人口,也会成为这一技术的阻碍。
	
(2)目的星球也绝不如同它从远方看起来的那般好客。
	
(3)造成的星际入侵,也许也无法避免。(对于其他种族的星际空间的无意闯入)
	
(4)还需要考虑时间,宇宙已经很老了,在地球上,生命存在了至少36亿年,而根据考苦学推断的所谓智人在约25万年前出现,但是大约仅一个世纪,我们才有远距离通信技术。
	
2. 思考B
当然了,抛开上面的困境不说,也许已经有盛大的外星人帝国铺张在成千上万的系统并存在了数百万年,我们可能只是错过了他们。
	
可能有伟岸的废墟在遥远的世界上腐朽。
	
地球上所有物种中的99%都灭绝了。人们很容易认为,这将是我们迟早要面对的命运。
	
智能生命可能发展,分布到几个系统上,然后死光了,一遍又一遍的重复。但银河文明可能永远不会满足。
	
所以也许对于宇宙中的生命,这会是统一的体验:望着星星,并怀疑“大家在哪里?”
	
但是没有理由认为外星人和我们一样,或者我们的逻辑也适合他们。这可能只是我们的沟通方式是非常原始和过时的。
	
想象一下,你坐在家里用摩斯电码发送器,持续不断地发信息,但是没有人会回应你。你觉得很孤独,可能是因为我们仍然无法察觉智能生物。我们将会继续这样做,直到我们学会正常通信。
	
即使我们遇到外星人,我们间的差异也可能过大,以至于无法与他们以有意义的方式交流。
	
想象一下你所能想到的最聪明的松鼠,不管你多努力,你都无法把我们的社会解释给它听。毕竟,以松鼠的视角,一棵树就像是自己需要生存的全部智慧。
	
因此,人类砍伐森林的举动是疯狂的,但不是因为我们恨松鼠而破坏森林,而是我们只想要资源,松鼠的愿望和松鼠的生存都不是我们所关心的。
	
当III型文明需要资源时,可能就会以相同的方式对待我们。他们可能会蒸发我们的海洋,只是要使他们收集资源更方便一些。
	
一个外星人,可能会这样想,“小小的猿们,他们建立真的很可爱的混凝土结构,哦,好吧,他们现在死了。”
	
但是,如果有一个文明,希望消除其他物种,它的动机更可能是殖民而不是经济。
	
而且无论如何,他们藉有自动化流程,通过构建完美的武器,能使一切更有效率:
	
这可能是一种由纳米仪器建造的,一个自我复制的空间探测器。他们仪器平台所操作的分子水平,是令人难以置信的快速和致命的,具有能在瞬间攻击和摧毁任何事物的能力。
	
你只需要给他们四个指令:
一,找到一个有生命的星球;
二,拆解在这个星球上的一切,成为其组成元件;
三,使用资源来建造新的空间探测器;
四,重复上述过程。
像这样的世界末日机器,可能在几百万年内就消除整个星系的生命。
	
3. 思考C
但是,为什么你会想要飞行数光年远,仅仅来收集资源或者造成种族灭绝?光的速度其实并不非常快,假如有人能以光速行进,穿越银河一次仍然需要10万年(配图有错望见谅):
	
有可能比摧毁文明和建造帝国更为愉快的事情:一个有趣的概念就是Matrioshaka大脑。这是一个围绕恒星的巨大结构,而这种计算能力的电脑,可以让一个种族上传他们所有的意识和存在到模拟的宇宙。有可能,他们可以体验到永远纯粹的狂喜,没有出生或者悲伤,一个完美的人生。
	
如果它的建成地是围绕一颗红矮星的轨道,这台电脑可以供电长达10万亿年。如果这是一个简单的选择,谁愿意花大力气去征服银河系或者与其他生命形式的接触呢?
	
所有这些费米悖论的解决方案有一个问题:我们并不知道技术的边界。
	
我们可能接近极限或是差的很远。例如,有一种超级棒的技术正在等着我们,能将我们能运送到其他星系。
4. 思考D
然而我们不得不承认的是,我们真的什么都不知道:
	
人类已经花费了超过90%的时间作为狩猎采集。
500年前,我们还认为自己是宇宙的中心。
200年前,我们停止使用人力作为能量的主要来源。
30年前,我们还把毁灭性武器互相指着对方,只是因为政治分歧。
	
然而,在以银河的时间尺度来看,我们只是胚胎。我们已经走了很远,但是仍有很长的路要走。而自以为是宇宙的中心的心态,仍然强力的印在人类心中,也因此让很多人容易产生对宇宙中其他生命的傲慢假设:
	
但最终,只有一个办法能够查明真相,对吗?
	
	
大沉默
另一个紧密相关的问题是大沉默——即使难以星际旅行,如果生命是普遍存在的话,为什么我们探测不到电磁信号?
有人尝试通过寻找地外文明的证据来解决费米悖论,也提出这些生命可能不具备人类的智慧。也有学者认为高等地外文明根本不存在,或者非常稀少以至于人类不可能联系得上。(引自Fermi paradox )
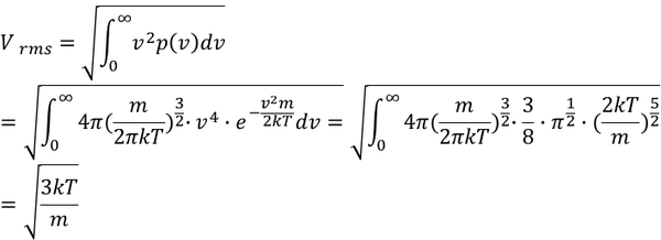
不过,我们对于寻找地外生命形式的行星总是有我们固执的想法,比如我们觉得宜居星球要有大气层。仅以人类或者生物需要呼吸的成分为模板,就可以算出宜居行星的必要尺寸,咱么一起算一算看:我们知道气体动力学理论中有一个均方根速度
	
上式中,R是摩尔气体常数,Mm是气体的摩尔质量稍微变形一下,利用高斯积分和麦克斯韦速率分布律:
	
注意,这时候的m已经不是气体的摩尔质量了,而是气体中单个分子的质量,对于一颗行星,有一个逃逸速度:
	
根据纪录片《宇宙时空之旅》中的旁白,我们的地球年龄约有45亿年,假设地球还能再存在55亿年(太阳的红巨星阶段大约是70亿年后),图个简便也就是一共45+55=100亿年=10^10年利用:
	
可以得到:
	
上面这个M是行星质量,m是气体单个分子的质量。
再假设这个宜居行星的密度跟地球相仿: Earth density=5.51 g/cm?(Density of the Earth)把行星假设成为球形,于是有:
	
带入其他已知条件:
	
可以有等式:
	
得出宜居星球的最小半径R=2841624m=2841.624km 2842千米比地球的半径(6371千米,Earth radius)的一半要小一些,跟Ganymede(木卫三,https://en.wikipedia.org/wiki/Ganymede_(moon))的半径2634.1±0.3 千米差不多:
	
图片来自Ganymede(moon)但是,是不是情况可能与我们设想的不一样呢?是不是我们看向了错误的地方?MinutePhysics 曾正经讨论了这个问题,结合这个网站The Big Alien Theory的理论,我们一起来看看:当寻求外星生命时,我们会集中去找一些像地球的星球,即其环境状态与地球相似。
	
“在地球上有生命”,逻辑上就等于“像地球的地方很有可能会找到生命。”
	
可是,在可观测宇宙中,有成千上万个星系,而其中又有数十亿计的恒星,大部分都有行星环绕,总共约有百万十亿十亿(10^24)颗星体。
	
这样巨大的数目,可以让我们合理的假设:当中的大量星球有生命存在,甚至是有智慧生物。
	
而这个庞大的数量连同一些基础物理学和统计学,结果指出很有可能外星智慧会生存在一些不像地球的“宜居星球”,而且不像人类。
	
我明白这听起来有些疯狂,因为我们只有一个数据点(我们自己),我们可以做出任何关于外星人特性的预测,即使我们并不知道他们的存在。
	
但是其实我们不可以,原因如下(贝叶斯推断,Bayesian inference):
	
一个基础的统计学结果指出其中在典型的“个体”与典型的“组别”特性的差异是巨大的:
	
例如,大部分人类居住在有起码1.8亿人口的国家,但大部分国家只有少于600万的人口:
	
有信仰的人是信仰信徒多于十亿人的宗教,但大部分宗教则只有少于一百万信徒:
	
大部分英超球迷热爱有数亿拥簇的球队,比如红摸、利村、破厂和车子,但大部分球队则只有数百万支持者(比如今年的副班长阿斯顿维拉,保级万金油桑德兰):
	
无论是宗教、球队支持者或者坚果成分,有多少个个体或者如何分组并不重要,
	
因为这是一个数学事实,即一个组中的中位数会大于或者等于中位组别:
	
	
简单地说,就是只要在组别样本不是完全一样的情况下,大部分的个体都会从属于大容量组别:
	
重点是,一个个体大多是属于一个大规模组别,而不是最普遍的一个:
	
如果你不知道自己属于哪一组,正如我不知道我的血型,最有可能的是最大的组别,所以可能是O型血或者A型血:
	
(图片来自The Big Alien Theory)
当然,论及到智慧生命,我们人类不知道什么组别是我们所在的。所以统计学告诉我们作为一个个体应该期待自己属于大容量组别,而且我们的种族占相当大部分的人口:
	
而知道我们族群占相当大部分的人口十分有用
	
例如,个体需要空间生存,即有最大人口的国家倾向于有大片的国土:
	
所有有更多人口的地球倾向于据有多余大部分具有智慧生命的星球的空间,简言之,更大:
	
同样,每个较小的生物需要较小的空间和能量,这样可以令它们具有较高的种群密度:
	
所以蚂蚁比大象多得多:
	
相比于其他智慧生命体而言,高人口数量的人类很有可能是身形较小:
	
根据以上推论,我们会有这样的预期:例如,容易获取的能量令维持人口稠密更加容易,所以对于其他临近恒星的行星智慧生命,我们应该期望我们的太阳是更热、更亮、位置更接近我们的星球,地球大气层更加透明:
	
如果这样听起来不具有针对性,有几个简单的又合理的基于物理的假设,令我们的预测结果更加精准:
	
学者们预测大部分智慧生命,具有的数量低过二千万,大部分具有智慧生命体的星球应该只具有少于80%地球半径那么大,而个体则至少重如北极熊(>350公斤)
在The Big Alien Theory里面有预测,网址前面我都给出了:
	
所以比起在向与地球相近的临近行星去寻找地外生命,可能更有效地方式是去寻找那些较小、更暗、雾气蒙蒙的行星:
	
简而言之,我们应该期望自己是利物浦,去寻找宇宙中的阿斯顿维拉:
	
	
关于虫洞
1921年赫尔曼·外尔(Hermann Weyl)首次提出虫洞相关的概念;
1957年约翰·惠勒(John Wheeler,他是费曼的导师)将这个概念敲定为虫洞;
1988年,索恩和其余共同作者才使这个问题正式登上了严肃科学的殿堂,成为广义相对论的一个研究课题:
	
截图来自http://authors.library.caltech.edu/9262/1/MORprl88.pdf这篇名为 “Wormholes, Time Machines, and the Weak Energy Condition”的文章发表在物理学领域声望最高之一的杂志——Physical Review Letters上。
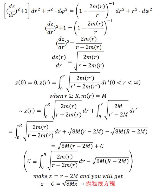
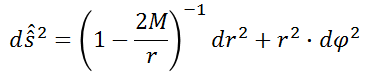
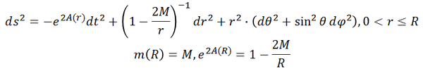
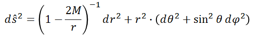
也就是在这篇文章的前言中,他们用前人的智慧结晶开宗明义:史瓦西虫洞是不可穿越的虫洞,因为人和动物的世界线是类时世界线,而虫洞按照时间顺序而言,先是不张开,然后逐渐张开到T=0时张至最大,继而有渐渐收窄,最终又完全不张开(有奇性),而人或者动物都慢于虫洞的开合。我们都知道静态球对称恒星外部时空的集合由史瓦西真空解:
	
其中M和R分别是恒星的质量和半径,星内线元可以表示为:
	
在等t面上导出三维线元:
	
由于球(恒星)的对称性,考虑到赤道面上的θ=2/π,所以对于面上的任意曲线任意元段有:
	
现在我们假设欧式空间中z-r面上有一个曲线表达式为z(r),根据3维欧式线元在柱坐标系{z, r, φ }的表达式为:
	
令上面两个式子相等,于是有:
	
所以根据上述结果,你可以得到下图:
	
当然,因为知道在r<R是z(r)是一个单调递增函数,所以对这部分曲线做了一个简单的想象处理。上图左边的曲线,绕z轴旋转一圈,就是:
	
而右边那个曲线绕z轴旋转,则有:
	
从上面这个图可以看出,时空是渐进平直的,越远越平,从时空的远端向恒星运动,你会发现空间的弯曲越来越大。
当然,由于前面提到的史瓦西虫洞的不可穿越性。为了让虫洞穿越成为可能,物理学家觉得就必须放弃真空条件,就是说,可穿越虫洞的时空一定要有物质场。要用物质的引力撑开虫洞,所以就有人提出撑开虫洞的物质必须是及其特别的——奇异物(exotic matter):
	
假想的具有反常物理性质的粒子,例如具有负质量者,它们可能打破已知的物理定律。
未确认的假想粒子,如奇异重子,其性质以既有的物理学看来可能并不奇异。
极端的物质状态,如玻色–爱因斯坦凝聚,这类物质完全符合已知物理定律。
物理学中所知甚少的物质,如暗物质。
(引自Exotic matter)经典物理学里并没有奇异物的存在空间,所以很多人自然就想到量子力学,即空间各处的能量密度都在快速地时涨时落,称之为真空涨落。在一定情况之下,真空涨落可能被扭曲,从而相当于奇异物。但是,就现在物理学方面的研究来看,并没有发现这样的奇异物的存在,也就是说穿越虫洞的可能性为零。
	
一点进展
去年,巴塞罗那的物理学家们在实验室搞出了一个“Magnetic Wormhole”:
图片来自A Magnetic Wormhole : Scientific Reports 文章发表在现在人人喊打的scientific reports上面,但是人家不管这个。
	
介绍一下超材料:它们拥有一些特别的性质,比如让光、电磁波改变它们的通常性质,而这样的效果是传统材料无法实现的。超材料的成分上没有什么特别之处,它们的奇特性质源于其精密的几何结构以及尺寸大小。其中的微结构,大小尺度小于它作用的波长,因此得以对波施加影响。
引自metamaterial 他们通过使用超材料,让磁场通过在通过隧道时没有留下痕迹。其实,在实验中的所谓“虫洞”,并不是“不可见的”,而是一个球体状的铁磁性超表面、球状的超导层以及内部的铁磁卷成的圆筒,另外实验的结果是磁场源以一个磁单子(单一磁极)孤立的出现隧道的另一头,好像就是凭空消失然后出现的状况,所以叫做磁场虫洞:
图片来自A Magnetic Wormhole : Scientific Reports 这个研究非常的重要,首先是第一次实现了磁场的空间转移,尽管跟物质的转移相差较远,但是可以让我们对于电磁波在空间的穿越方式有所了解,并且对于医用仪器方面有着重要的应用价值,在scientific American中,作者说道:
There's no way to know if similar magnetic wormholes lurk in space, but the technology could have applications on Earth, Prat said. For instance, magnetic resonance imaging(MRI)machines use a giant magnet and require people to be in a tightly enclosed central tube for diagnostic imaging. But if a device could funnel a magnetic field from one spot to the other, it would be possible to take pictures of the body with the strong magnet placed far away, freeing people from the claustrophobic environment of an MRI machine, Prat said.(引自Magnetic Wormhole Created in Lab )
翻译一下就是,这项研究可以用在磁共振成像(MRI)方面,现在的磁共振成像仪需要人们进入一个相对环境封闭的中空舱里,对着一大块的磁铁。这个对很多人,鸭梨山大不说,还有人会产生一定的幽闭恐惧症。而使用磁场虫洞技术,就可以将强磁块放在远离中空舱,让人感觉舒服一些。
	
综上所述
对于问题“宇宙已经140亿岁了,多少文明存在又消亡过,为何没有文明进化到可以星际旅行,通过虫洞找到我们?”
我个人的看法是,我们在宇宙中是孤独的,形单影只的呆在蓝蓝的小球上,周围是无限扩张的空间。因为找不到奇异物质,虫洞也是不可能的。
在宇宙冗长的时间线上,我们只是微不足道的一点,1080P的超清图上连个像素都不到,既欣赏不到宇宙的初始,也很可能体验不到它最后的呼吸。
如果你感到有一点难受的话,那其实是正常的,我也这么感觉。不过,我们知道我们是由许许多多的小粒子组成的,而这些小东西将我们与宇宙中的万物联系在了一起,直到一切的起源,而这是一件好事:你不是孤单的,从来都不是。
热寂、大撕裂等等离你都很远,很远很远,最重要的只有当下,你喜欢的那个可爱的女孩,大胆跟她说吧!加油!

 
  