原标题:为什么宇宙最快速度是299792458米/秒?
人们很早就知道光速非常快,甚至猜测光速是无限的。正因为光速极快,早期的物理学家很难精确测出光速。直到激光出现之后,物理学家才较为精确地测出光速。到了1983年,光速直接被定义为299792458米/秒。根据爱因斯坦的相对论,这个速度就是宇宙的极限速度。
那么,为什么光速是速度上限呢?
电子的质量非常低,仅为9.11×10^-31千克。根据牛顿物理学中的动能计算公式:
可以计算出,只要给予超过4.1×10^-14焦耳(相当于一万亿亿分之一度电,或者256千电子伏特)的能量,一个电子就能被加速到光速。并且如果能量不断增加,电子可以被不断加速,使速度远超光速。这么看来,超光速是轻而易举的事情。
然而,无论是在哪个粒子加速器中,即便是当今最为强大的大型强子对撞机,也无法把电子的速度加速到光速或者超光速。此前,物理学家用斯坦福线性加速器(SLAC)做过实验,一个电子经过0.3米的加速后,速度达到了光速的99.5%。然而,再继续经过3.2千米的加速,该电子的速度也只是在小数点后多了6个9,始终没有达到光速。
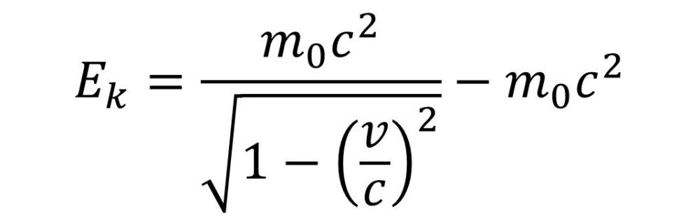
至于原因,牛顿物理学只适用于低速情况,而在亚光速时,只有相对论才是描述事实的理论。从相对论中,可以导出如下的动能表达式:
可以看到,即便是质量小如电子,当速度无限接近光速之时,电子的动能将会是无穷大。因此,只要有静止质量(m0),速度就不可能达到光速,光速是永远也无法达到的极限速度。而对于没有静质量的物体,光速就是唯一的速度。至于超光速,理论是不允许的。
迄今为止,已知最快的亚光速是由来自宇宙中的神秘OMG粒子所创下的,其速度相当于光速的99.999…中间还有15个9…99951%。虽然这个速度非常接近光速,但仍然没有达到光速。
光速不但最快,而且在所有参照系中保持一致(光速不变原理)。于是,物理学家把接近精确测量值的299792458米/秒定义为光速,这样既不会让此前与长度有关的参数发生可测的变化,也能把1米有多长给确定下来。
最后,需要注意的是,宇宙中有超光速的速度,那就是空间膨胀的速度。但空间不是物质和辐射,它自身的膨胀速度不受任何限制。
